표준정수처리 단위공정
플록형성 (Flocculation)
응집(Coagulation)이 전기화학적인 반응에 의하여 콜로이드 입자의 표면전위를 감소시켜 입자들을 불안정화 시키는 화학적인 반응단계라고 한다면, 플록형성은불안정화 된 입자들이 침전이나 여과가 가능한 입자로 성장할 수 있도록 적당한 강도로 충돌시켜 성장시키는 물리적인 반응단계를 의미한다.
일부에서는 이 두 단계에 대한 용어가 명확하게 정의되어 있지 않아 혼란스럽게 사용되고 있으나, 관련된 반응이 화학적 반응인가 아니면 물리적 반응인가에 따라응집과 플록형성을 분리하는 것이 정확한 개념이다.
그러나 응집, 즉, 화학적 반응단계를 물리적 반응단계와 완전하게 분리한다는 것은 불가능하다. 또한, 금속계 응집제의 수화반응이 순간적으로 진행될 뿐 아니라화학반응은 응집제의 완전한 분산을 전제하고 있고, 기계적으로 화학반응이 진행되기 전에 순간적으로 혼합시키기가 불가능하다.
이러한 원인으로 인하여 급속혼화공정에서는 일반적으로 화학적 반응단계인 응집(coagulation)과 물리적 반응단계인 미세플록(micro-floc)형성이 동시에 진행된다. 결과적으로 플록형성은 콜로이드 입자의 불안정화를 전제로 입자들의 충돌을 효과적으로 유도하는 물리적인 반응단계를 말하는 것으로, 크고 작은 입자들의
충돌원리를 바탕으로 브라운 운동(Brownish motion), 층류에서의 속도경사, 속도차 침전 및 난류확산 등으로 분류하여 설명할 수 있다.
브라운 확산(Brownish diffusion, Perikinetic flocculation)
작은 입자들은 수중에서 열에너지에 의해 움직이는 물분자들의 브라운 운동에 의해 불규칙적으로 움직이는데, 이러한 움직임에 의한 물질의 확산을 브라운 확산이라 한다. 이에 의한 입자들의 전달 및 충돌을 “Brownian” 혹은 "perikinetic 플록형성"이라 한다.
Perikinetic 플록형성은 아주 작은 입자와 큰 입자 사이의 충돌이나, 층류상태에서 작은 입자들의 충돌에는 지배적일 수 있으나, 비교적 큰 입자들을 기계적인 교반이나 난류에 의한 확산에 의해 충돌시킬 경우 브라운 확산에 의한 플록형성은 무시할 정도로 작은 영향을 미치게 된다.
층류에서의 속도경사(Orthokinetic flocculation)
속도경사가 있는 층류영역에서 유속이 빠른 영역에 있는 입자는 빠르게 움직일 것이며, 유속이 상대적으로 낮은 영역에 있는 입자는 천천히 움직일 것이다.
이러한 입자 상호간의 속도차에 의하여 두 입자는 서로 충돌하게 되는데 이러한 기작에 의한 플록형성을 “Orthokinetic 플록형성“이라고 한다.
여기서, 수평하게 움직이는 입자들의 충돌과 플록형성을 가능하게 하는 구동력(driving force)이 전단력(shear force)이기 때문에, 전단응집이라고도 한다.
속도차 침전(Differential Settling)
침전속도가 다른 두 입자는 정체된 수중에서 침전되는 과정에서 서로 충돌할 수 있으며, 응집/침전 과정에서 발생하는 주된 플록형성 기작이다.
속도차 침전에 의한 플록형성은 중력이 구동력으로 작용하며, 침전지나 교반속도가 낮은 플록형성지 마지막 단에서 발생할 수 있다.
즉, 속도경사에 의한 입자충돌은 속도의 차에 의하여 발생하는 것과 마찬가지로 속도차 침전은 입자의 침전속도 차이에 의해 발생한다.
난류확산(Turbulent Transport)
난류영역에서 유체의 불규칙한 움직임의 변화에 의해 여러 크기의 소용돌이(eddy)가 발생하고, 그 소용돌이에 의해 유체의 운동량 즉, 속도경사가 수시로 변하면서 부유하는 입자들이 서로 충돌하도록 유도함으로써 플록형성이 진행된다. 따라서 교반을 이용한 난류를 발생시킴으로써 소용돌이의 내․외부에서 입자들의충돌하고 성장하게 된다.
침전 (Sedimentation, Settling)
수용액으로부터 부유물질을 중력으로 분리하는 것은 정수처리공정에서 가장 오래되고 널리 사용되어온 방법이다.
원수중의 거의 모든 입자성 물질은 물보다 무거우므로 중력에 의해 바닥에 가라앉는데 이를 이용하여 침전 가능한 고형물을 분리하는 이른바 고액분리를 위한물리적 단위조작인 것이다. 침전과정을 통하여 제거가능한 입자성 고형물은 모래, 화학적 침전물, 오염물질, 플록 등이 있다.
일반적인 수중의 입자들은 8~12시간 정도의 체류시간에서 대부분 제거된다. 그러나 작은 입자가 고농도로 존재할 경우, 잘 침전되지 않고, 여과지도 쉽게 통과할 수 있기 때문에 콜로이드 등과 같은 하전된 미립자들은 반드시 응집과 플록 형성조작이 필요하다.
입자들의 침전은 입자크기가 비슷하고, 농도가 대체로 낮을 경우 침전과정에서 다른 입자와 서로 충돌하지 않고 침전하는 독립침전과 다양한 크기의 입자와입자의 농도가 대체로 높을 경우 응집침전 및 압밀침전 등에 의해 진행된다.
입자들의 크기 분포나 농도에 따라 침전공정은 다음과 같은 네 가지 유형으로 구분할 수 있다.
제 I형 침전(독립침전)
독립침전(discrete settling)은 저농도 현탁물 또는 입자들이 서로 응집하지 않고 독립적으로 침전하는 것을 말한다.
독립침전은 입자들이 독립적으로 침전하고 어떠한 응집이나 응결이 발생하지 않는 상태이다. 침사지 등에서 모래입자들이 침전하는 것을 예로 들 수가 있다.
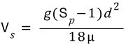
독립침전의 침강속도는 Stoke's 법칙이라 불리는 식에 의해 설명될 수 있다. Stoke's 법칙은 입자가 작은 구형이라고 가정할 때 레이놀드수, Re<0.5의 영역에서적용되는 식이다. 입자의 침강속도는 입자의 크기, 밀도, 형상, 물의 온도(점성) 등에 의해 영향을 받으며 다음 식으로 나타낼 수 있다.

Vs : 입자의 침강속도(cm/sec)
d : 입자의 직경(cm)
μ : 물의 점성계수(g/cm·sec2)
Sp : 입자의 비중[=입자의 밀도(g/cm3, ρ s ) - 물의 밀도(g/cm3, ρ w )]
제 II형 침전(응집침전)
응집침전(flocculant settling)은 어느 정도 현탁물의 농도가 증가하고, 입자들이 서로 응집하는 특성이 있을 때, 각 입자들이 침전하는 과정에서 서로 충돌하여큰 입자로 성장하면서 침전하는 것을 말한다. 이 경우는 화학적으로 응집된 플록이나 미생물 플록 등이 침전하며, 큰 침전속도를 지닌 입자는 작은 속도를 지닌
입자와 결합하면서 더 빨리 침전하게 된다.
제 III형 침전(계면침전 또는 방해침전)
고농도 현탁물에서 발생하는 침전현상으로 침전하고자 하는 입자가 가까이 위치한 입자들의 침전을 서로 방해하여 독립입자 형태로 침전하지 못하게 함에 따라부유물과 상징수(supernatant) 사이에 경계면을 형성하면서 침전하므로 계면침전(zone settling) 또는 방해침전(hindered settling)이라고도 한다.
d. 제 IV형 침전(압밀침전)
압밀침전(compression settling)은 침전된 입자들이 그 자체의 무게로 인하여 입자사이의 물을 압축하여 공극 밖으로 물을 밀어내어 물이 빠져나오면서 슬러지층이 압축되는 침전이다. 주로 침전조의 하부나 농축조 등의 슬러지 농축 등에서 발생한다.

출처 : 2004년 환경부 "고도정수처리 정책방향에 관한연구" 발췌
'수질관련용어' 카테고리의 다른 글
| 고도처리공정의 필요성 (0) | 2022.11.14 |
|---|---|
| 혼화, 응집(Coagulation) 및 입자의 특성, 전기적 이중층(Double layer) (0) | 2022.11.14 |
| 급속여과(Rapid sand filtration) 및 여과(Filtration) (0) | 2022.11.14 |
| 완속여과(Slow sand filtration) (1) | 2022.11.14 |
| 고도정수처리 및 문제시되는 먹는물의 오염물질 종류 (0) | 2022.11.14 |